ÐÂÎÅÖÐÐÄ
News Center
bevictorΰµÂ¹ÙÍø - ΤµÂ¹Ù·½ÍøÕ¾°²ÂÞÌæÄáÈýÒõÐÔÈéÏÙ°©Ñо¿Ð§¹ûÈÙµÇÁøÒ¶µ¶×Ó¿¯
Ðû²¼Ê±¼ä£º2024-05-14
¡¶ÁøÒ¶µ¶¡·×Ó¿¯eClinicalMedicne£¨Ó°ÏìÒò×Ó15.1£©½ÒÏþÁ˰²ÂÞÌæÄáÍŽá×ÏɼÍéÀ༰Â岬и¨ÖúÖÎÁÆTNBCµÄµ¥ÖÐÐÄ¡¢µ¥±Û¡¢IIÆÚ¡¢Ç°Õ°ÐÔneoALTALÊÔÑ飨ChiCTR2100043027£©Ñо¿Ð§¹û[1]¡£¡£¡£¡£¡£¡£¡£¡£Ñо¿Ð§¹ûÅú×¢°²ÂÞÌæÄáÍŽá×ÏɼÍéÀàºÍÂ岬ÔÚÈýÒõÐÔÈéÏÙ°©£¨TNBC£©µÄи¨ÖúÖÎÁÆÖеĿ¹Ö×ÁöЧ¹ûµÖ´ïÔ¤ÆÚ£¬£¬£¬£¬£¬²¢Ö§³ÖºóÐø½øÒ»²½ÆÀ¹À°²ÂÞÌæÄáÍŽá×ÏɼÍéÀàºÍ²¬Àà×÷Ϊ²»Êʺϻ¯ÃâÍŽá»òº¬Ýì»·ÀàÒ©Îï¼Æ»®µÄTNBC»¼Õßи¨ÖúÖÎÁÆÌæ»»¼Æ»®µÄ¿ÉÐÐÐÔ¡£¡£¡£¡£¡£¡£¡£¡£
![]()
ͼ1 ÔÓÖ¾ÎÄÕ½ØÍ¼
ÓÉÖйú¿¹°©Ð»áÖ×Áö·ÀÖÎ¿ÆÆÕרҵίԱ»áÌØÊâ²ß»®µÄCACAÖ®Ô¼-STAR·Ã̸ÏîÄ¿ôß¿ÆÑж´“Ì씣¬£¬£¬£¬£¬´ó¿§“Ç甽²Ô¼ÇëÖ÷ÒªÑо¿Õß¡¢ÖйúÈËÃñ½â·Å¾ü½¾ü¾üÒ½´óѧµÚÒ»Á¥ÊôÒ½Ôº£¨Î÷ÄÏÒ½Ôº£©ÆëÏþΰ½ÌÊÚ¶ÔÕâÒ»Ñо¿¾ÙÐÐÏêϸ½â¶Á¡£¡£¡£¡£¡£¡£¡£¡£
TNBCÊǴƼ¤ËØÊÜÌå (ER)¡¢Ôм¤ËØÊÜÌå (PR)ºÍÈË±íÆ¤Éú³¤Òò×ÓÊÜÌå2£¨HER2£©ÒõÐÔ±í´ïµÄÈéÏÙ°©ÑÇÐÍ£¬£¬£¬£¬£¬ÆäÌØµãÊÇÔ¤ºó²»Á¼¡£¡£¡£¡£¡£¡£¡£¡£Ð¸¨ÖúÖÎÁÆÊÇÔçÆÚTNBCÖ÷ÒªµÄÖÎÁÆÊֶΣ¬£¬£¬£¬£¬ÖÎÁƺó»ñµÃÍêÈ«»º½â£¨pCR£©µÄ»¼Õߣ¬£¬£¬£¬£¬Ô¤ºó¸üºÃ¡£¡£¡£¡£¡£¡£¡£¡£ÏÖÔÚTNBCµÄи¨ÖúÖÎÁƼƻ®ÒÔÝì»·ÀàÍŽá»òÐò¹á×ÏɼÀàÒ©ÎïΪÖ÷£¬£¬£¬£¬£¬pCRÂÊÔÚ40%×óÓÒ¡£¡£¡£¡£¡£¡£¡£¡£¹Å°åµÄÝì»·À໯ÁÆÒ©ÎïÓÐ×ÅÏÔ×Ŷ¾¸±×÷Ó㬣¬£¬£¬£¬²¢ÇÒÁÆÐ§Ò²Öð½¥Êܵ½ÏÞÖÆ¡£¡£¡£¡£¡£¡£¡£¡£NeoStopÑо¿[2]ºÍNeoCARTÑо¿[3]µÈÏÔʾÀúÊ·¼Æ»®£¨TP£©µÄpCRÂÊÓë×ÏɼÀàÍŽᲬÀàÐò¹áÝì»·ÀàÏàËÆ»ò¸ßÓڹŰåÝì»·ÀàÐò¹á×ÏɼÀà¼Æ»®£¬£¬£¬£¬£¬ÇÒ¶¾¸±×÷ÓøüС¡£¡£¡£¡£¡£¡£¡£¡£
±ðµÄ£¬£¬£¬£¬£¬TNBC¾ßÓÐ×éÖ¯ÖÐ΢Ѫ¹ÜÃܶÈÏÔןßÓÚÆäËûÑÇÐ͵ÄÌØµã¡£¡£¡£¡£¡£¡£¡£¡£GeparSixto[4],¡¢KCSG BR-0905[5]ºÍCALGB 40603[6]µÈÑо¿ÏÔʾ£¬£¬£¬£¬£¬¿¹Ñª¹ÜÌìÉúÒ©ÎïÍŽữÁÆÐ¸¨ÖúÖÎÁÆTNBC¿ÉÒÔÏÔÖøÌá¸ßpCR¡£¡£¡£¡£¡£¡£¡£¡£È»¶øÔÚCALGB 40603Ñо¿ÖУ¬£¬£¬£¬£¬ÓÉÓÚ¸ßѪѹ¡¢Ñ¬È¾¡¢ÑªË¨Ë¨ÈûÊÂÎñ¡¢³öѪºÍÊõºó²¢·¢Ö¢µÈ³£¼û²»Á¼ÊÂÎñµÄ±¬·¢£¬£¬£¬£¬£¬½ö66%µÄ»¼ÕßÍê³ÉÍýÏëÖÎÁÆ¡£¡£¡£¡£¡£¡£¡£¡£Òò´Ë£¬£¬£¬£¬£¬ÁÙ´²ÆÈÇÐÐèÒªÐÂÐ͵Ŀ¹Ñª¹ÜÌìÉúÒ©Îï¡£¡£¡£¡£¡£¡£¡£¡£
ÆëÏþΰ½ÌÊÚÍŶӻùÓÚTNBCµÄÉúÎïÑ§ÌØÕ÷£¨ÈçѪ¹ÜÃܶȸߡ¢Ö×Áöϸ°û¿ìËÙÔöÖ³£©ºÍǰÆÚµÄÑо¿Ð§¹û£¬£¬£¬£¬£¬½«°²ÂÞÌæÄáÍŽá×ÏɼÍéÀ༰Â岬и¨ÖúÖÎÁÆ£¬£¬£¬£¬£¬Ö¼ÔÚ̽Ë÷£º1.ÔÚ×ÏɼÍéÀà+²¬À໯ÁÆ»ù´¡ÉÏÍŽᰲÂÞÌæÄá¶ÔTNBCи¨ÖúÖÎÁƵÄÁÆÐ§ºÍÇå¾²ÐÔ£»£»£»£»£»2. ͨ¹ýÉúÎï±ê¼ÇÎïÆÊÎöѰÕҸüƻ®µÄ»ñÒæÈËȺ¡£¡£¡£¡£¡£¡£¡£¡£
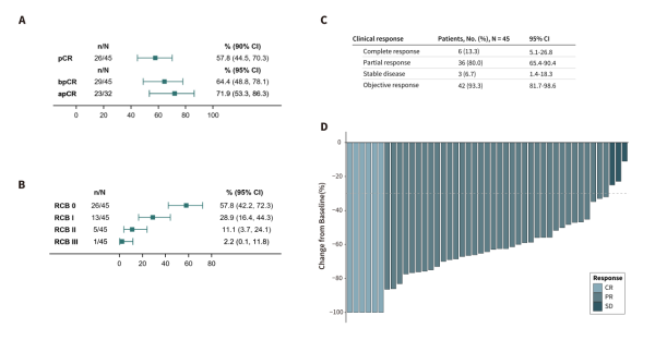
×îÖÕЧ¹ûÏÔʾ£¬£¬£¬£¬£¬ÒâÏòÖÎÁÆ£¨ITT£©ÈËȺµÄpCRÂÊΪ57.8%£¨90% CI: 44.5%-70.3%£©£¬£¬£¬£¬£¬Ö§³Ö¾Ü¾øH0¼ÙÉ裨44%£©£¬£¬£¬£¬£¬Òâζןüƻ®pCRÂʱÈTP¸ü¸ß[7]¡£¡£¡£¡£¡£¡£¡£¡£Í¬Ê±¿ÉÒԺͼÈÍù²¬ÀàÍŽᱴ·¥Öéµ¥¿¹»ò°¢ÅÁÌæÄáµÄpCRÂÊÊý¾Ý£¨42%~60.9%£©[4-6,8]£¬£¬£¬£¬£¬ÒÔ¼°ºÍ»ùÓÚÝì»·ÀàÒ©ÎïΪ»ù´¡µÄ»¯ÃâÍÅ½á¼Æ»®µÄpCRÂÊÊý¾Ý£¨53%~64.8%£©[9-11]ÏàæÇÃÀ¡£¡£¡£¡£¡£¡£¡£¡£±ðµÄ±¾Ñо¿Ð§¹ûÓëNeoPACTÑо¿[12]Ч¹û£¨ÅÁ²©ÀûÖéµ¥¿¹+TP£»£»£»£»£»57.8%£©ÏàËÆ¡£¡£¡£¡£¡£¡£¡£¡£
![]()
ͼ 2 ITTÈËȺµÄpCR¡¢RCBºÍÁÙ´²»º½âÇéÐΣ¨N = 45£©
£¨A£©pCR¡¢bpCRºÍapCR£»£»£»£»£»£¨B£©RCB£»£»£»£»£»
£¨C£©ÁÙ´²·´Ó¦£»£»£»£»£»£¨D£©ÆÙ²¼Í¼
½áÂÛ
±¾Ñо¿Ê×´ÎʹÓÃÐÂÐͶà°ÐµãÊÜÌåÀÒ°±ËἤøÒÖÖÆ¼Á°²ÂÞÌæÄáÍŽáTP»¯ÁÆÐ¸¨ÖúÖÎÁÆTNBC¡£¡£¡£¡£¡£¡£¡£¡£Ñо¿Ð§¹ûÅú×¢°²ÂÞÌæÄáÍŽá×ÏɼÍéÀàºÍÂ岬ÔÚTNBCµÄи¨ÖúÖÎÁÆÖеĿ¹Ö×ÁöЧ¹ûµÖ´ïÔ¤ÆÚ¡£¡£¡£¡£¡£¡£¡£¡£neoALTAL ÊÔÑéµÄЧ¹ûÖ§³Ö½øÒ»²½ÔÚ2-3ÆÚËæ»ú±ÈÕÕÑо¿ÖÐÆÀ¹À°²ÂÞÌæÄáÍŽá×ÏɼÍéÀàºÍ²¬Àà×÷Ϊ²»Êʺϻ¯ÃâÍŽá»òº¬Ýì»·ÀàÒ©Îï¼Æ»®µÄTNBC»¼ÕßµÄи¨ÖúÖÎÁÆ¿ÉÑ¡¼Æ»®¡£¡£¡£¡£¡£¡£¡£¡£
¹ØÓÚ°²ÂÞÌæÄá
°²ÂÞÌæÄáÊÇbevictorΰµÂ¹ÙÍø - ΤµÂ¹Ù·½ÍøÕ¾ÏÂÊôÆóÒµÕý´óÌìÇç×ÔÖ÷Ñз¢µÄÒ»¿î¿Ú·þÐÂÐÍС·Ö×Ó¶à°ÐµãÊÜÌåÀÒ°±ËἤøÒÖÖÆ¼Á£¨TKI£©£¬£¬£¬£¬£¬ÄÜÓÐÓÃÒÖÖÆVEGFR 1-3¡¢PDGFR α/β¡¢FGFR 1-4¡¢c-KitµÈ¼¤Ã¸£¬£¬£¬£¬£¬Í¨¹ýµ÷¿ØÖ×Áö΢ÇéÐÎÖØ±à³ÌµÖ´ïÒÖÖÆÖ×ÁöѪ¹ÜÐÂÉú¡¢ÒÖÖÆÖ×ÁöÉú³¤¡¢µ÷¿ØÃâÒß΢ÇéÐεÄ×÷Óᣡ£¡£¡£¡£¡£¡£¡£2018Äê5Ô£¬£¬£¬£¬£¬ÑÎËá°²ÂÞÌæÄὺÄÒ»ñ¹ú¼ÒÒ©Æ·¼àÊÓÖÎÀí¾ÖÅú×¼ÉÏÊУ¬£¬£¬£¬£¬ÊÇÖйúÊ׸ö»ñÅúÓÃÓÚÍíÆÚ·ÇСϸ°û·Î°©ÈýÏßÖÎÁƵÄÒ©Îï¡£¡£¡£¡£¡£¡£¡£¡£ÑÎËá°²ÂÞÌæÄὺÄÒÒÑÔÚº£ÄÚ»ñÅúÁù¸ö˳Ӧ֢£ºÍíÆÚ·ÇСϸ°û·Î°©¡¢Èí×éÖ¯ÈâÁö¡¢ÈýÏßСϸ°û·Î°©¡¢¼××´ÏÙËèÑù°©¡¢·Ö½âÐͼ××´ÏÙ°©¡¢Ò»Ï߯ձéÆÚСϸ°û·Î°©¡£¡£¡£¡£¡£¡£¡£¡£2024Äê2Ô£¬£¬£¬£¬£¬ÑÎËá°²ÂÞÌæÄὺÄÒµÚÆß¸ö˳Ӧ֢µÄÉÏÊÐÉêÇë»ñCDEÕýʽÊÜÀí£¬£¬£¬£¬£¬ÓÃÓÚÍŽᱴĪËհݵ¥¿¹ÖÎÁƸ´·¢ÐÔ»ò×ªÒÆÐÔ×Ó¹¬ÄÚĤ°©¡£¡£¡£¡£¡£¡£¡£¡£
²Î¿¼ÎÄÏ×£º
[1] Liang Y, Qi X, et al. Safety and efficacy of anlotinib combined with taxane and lobaplatin in neoadjuvant treatment of clinical stage II/III triple-negative breast cancer in China (the neoALTAL trial): a single-arm, phase 2 trial. EClinicalMedicine. 2024;71:102585.
[2] Sharma P, et al. Randomized Phase II Trial of Anthracycline-free and Anthracycline-containing Neoadjuvant Carboplatin Chemotherapy Regimens in Stage I-III Triple-negative Breast Cancer (NeoSTOP). Clin Cancer Res. 2021;27:975-982.
[3] Wang K, et al. Neoadjuvant docetaxel plus carboplatin vs epirubicin plus cyclophosphamide followed by docetaxel in triple-negative, early-stage breast cancer (NeoCART): Results from a multicenter, randomized controlled, open-label phase II trial. Int J Cancer. 2022;150:654-662.
[4] Von Minckwitz G, Schneeweiss A, Loibl S, et al. Neoadjuvant carboplatin in patients with triple-negative and HER2-positive early breast cancer (GeparSixto; GBG 66): a randomised phase 2 trial. Lancet Oncol. 2014;15:747–756.
[5] Kim HR, Jung KH, Im S-A, et al. Multicentre phase II trial of bevacizumab combined with docetaxel-carboplatin for the neoadjuvant treatment of triple-negative breast cancer (KCSG BR-0905). Ann Oncol. 2013;24:1485–1490.
[6] Sikov WM, Berry DA, Perou CM, et al. Impact of the addition of carboplatin and/or bevacizumab to neoadjuvant once-per-week paclitaxel followed by dose-dense doxorubicin and cyclophosphamide on pathologic complete response rates in stage II to III triplenegative breast cancer: CALGB 40603 (alliance). J Clin Oncol. 2015; 33:13–21.
[7] Gianni L, Huang CS, Egle D, et al. Pathologic complete response (pCR) to neoadjuvant treatment with or without atezolizumab in triple-negative, early high-risk and locally advanced breast cancer: NeoTRIP Michelangelo randomized study. Ann Oncol. 2022;33(5):534-543.
[8] Liu J, He M, Ou K, et al. Efficacy and safety of apatinib combined with dose-dense paclitaxel and carboplatin in neoadjuvant therapy for locally advanced triple-negative breast cancer: a prospective cohort study with propensity-matched analysis. Int J Cancer. 2024;154:133–144.
[9] Loibl S, Untch M, Burchardi N, et al. A randomised phase II study investigating durvalumab in addition to an anthracycline taxanebased neoadjuvant therapy in early triple-negative breast cancer: clinical results and biomarker analysis of GeparNuevo study. Ann Oncol. 2019;30:1279–1288.
[10] Mittendorf EA, Zhang H, Barrios CH, et al. Neoadjuvant atezolizumab in combination with sequential nab-paclitaxel and anthracyclinebased chemotherapy versus placebo and chemotherapy in patients with early-stage triple-negative breast cancer (IMpassion 031): a randomised, double-blind, phase 3 trial. Lancet. 2020;396:1090–1100.
[11] Schmid P, Cortes J, Pusztai L, et al. Pembrolizumab for early triplenegative breast cancer. N Engl J Med. 2020;382:810–821.
[12] Sharma P, Stecklein SR, Yoder R, et al. Clinical and biomarker findings of neoadjuvant pembrolizumab and carboplatin plus docetaxel in triple-negative breast cancer: NeoPACT phase 2 clinical trial. JAMA Oncol. 2024;10:227-235.
ÉùÃ÷£º
